Q: I am reading ANSI/ASQ Z1.4-2008: Sampling procedures and tables for inspection by attributes, and there is a small section regarding inspection level (clause 9.2). Can I get further explanation of how one would justify that less discrimination is needed?
For example, my lot size is 720 which means, under general inspection level II, the sample size would be 80 (code J). However, we run a variety of tests, including microbial and heavy metal testing. These tests are very costly. We would like to justify that we can abide by level I or even lower if possible. Do you have any advice?
The product is a liquid dietary supplement.
A: Justification of a specific inspection level is the responsibility of the “responsible party.” Rationale for using one of the special levels (S-1, S-2, S-3, S-4) could be based on the cost or time to perform a test. Less discrimination means that the actual Acceptable Quality Level (AQL) on the table underestimates the true AQL, as the sample size has been reduced from the table-suggested sample size (i.e. Table II-A has sample level G of 32 for a lot size of 151 to 280, while General Inspection level I would require Letter E or 13 samples for the same lot size).
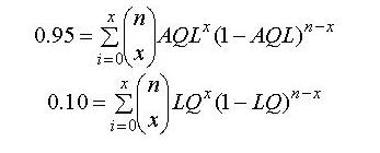
Justification of a sampling plan is based on risk and a sampling plan can be justified based on the cost of the test, assuming you are willing to take larger sampling risks. If you use one of the special sampling plans based on the cost of the test, it is helpful to calculate the actual AQL and Limiting Quality (LQ) using the following formulas.
You solve the equation for AQL and LQ for a given sample size (n) and defects allowed (x):
Steven Walfish
Secretary, U.S. TAG to ISO/TC 69
ASQ CQE
Principal Statistician, BD
http://statisticaloutsourcingservices.com
For more on this topic, please visit ASQ’s website.

Particularly with respect to microbial testing the number of samples are much lower. If the product is sensitive to microbial contamination is suitable to tes the beginning and the end of filling and taking an aleatorized sample as a third sample. If the product is not sensitive you can test samples from the beginning, middle and end of filling.
The number of samples for each time should be enough to test twice the product.
Best regards
Néstor Aversa
Director CQE
Espiral de Calidad